根据IPCC报道,全球降水格局已经发生变化。我国南亚热带地区降水格局变化主要表现为干季降水次数减少、雨季强降雨时间频发。降水格局的变化会影响陆地生态系统的生态过程和功能。目前,降水格局变化对南亚热带森林生态系统的影响,我们尚不清楚。
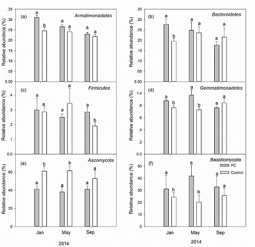
中科院华南植物园生态及环境科学研究中心博士生赵倩在导师简曙光和申卫军研究员的指导下,依托鹤山野外降水控制实验平台,模拟干季更干、湿季更湿的降水格局。以土壤微生物为研究对象,探讨土壤微生物群落结构和功能对降水季节分配变化的响应,加深有关土壤微生物对降水格局变化响应的理解。干季隔除67%的林下穿透水处理减少了17–24%的土壤含水量。在群落水平上,该强度的降水变化对土壤微生物群落结构无显著影响。但在门分类水平上,干季隔除67%的降水处理显著增加了细菌稀有种(Gemmatimonadetes,Armatimonadetes和Bacteriodetes)以及真菌优势种Basidiomycota的相对丰度,降低了真菌优势种Ascomycota的相对丰度。经过2年的野外降水控制实验,研究结果表明,该强度的降水改变对土壤养分、微生物群落结构以及酶活性无显著影响,但显著地影响细菌群落中某些稀有种以及真菌群落中优势种的相对丰度。
相关研究成果已发表在国际土壤学主流期刊Biology and Fertility of Soil (IF2016=3.683)。该研究得到国家自然科学基金重点项目的资助。文献链接: https://link.springer.com/article/10.1007/s00374-016-1171-z

图1. 野外降水控制实验平台

图2. 在门分类水平上,受降水季节分配变化显著影响的细菌、真菌类群的相对丰度(P<0.05)