热带森林是重要植被和土壤碳库,其土壤碳库与大气碳库相当。但是在过去的几十年中,热带森林经历了大规模土地利用变化,约有一半的热带森林被砍伐变为农田或次生林。因此,了解这一土地利用变化过程中植被和土壤碳库的变化对准确估算森林碳库功能的变化至关重要。传统观点认为热带森林转变为次生林或人工林后,其植被碳库的恢复时间约为50-100年,而土壤碳库并不会发生太大变化。IPCC的几次评估报告在计算大尺度森林土壤碳库变化中都将热带人工林和次生林的土壤碳库设为与原生森林土壤碳库相同。
中科院华南植物园小良站科研人员王法明副研究员与李志安站长(通讯作者)等利用站区具有50多年历史的热带森林恢复序列样地(天然林、次生林、桉树人工林以及未恢复光裸地),结合站区历史的土壤监测数据,评估了不同恢复序列样地中植被碳库和土壤碳库的变化。研究结果发现次生林的植被碳库经历了50多年的恢复已经与天然林相差不大,而土壤碳库还有很大差异,仅为天然林的60%左右(0-60 cm)。
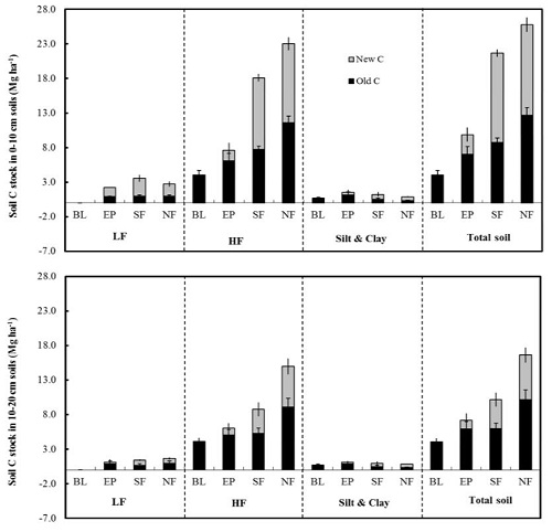
科研人员进一步利用土壤碳天然同位素丰度的差异以及土壤碳分组方法,更加详细的了解了恢复过程中新老碳组分在土壤中的分布特征及其随恢复过程的变化。结果表明次生林表层土壤碳库总量尽管和天然林类似,但其难分解的老碳组分远小于天然林(图2),而且在深层土壤中这一差异更大。此外,该项研究还表明人工林由于经常的人为干扰(砍伐收获),极大的降低了其土壤固碳能力,与次生林相比,仅为后者的碳库的一半左右。这一结果表明IPCC用来估计大尺度的热带次生林和人工林的土壤固碳量的默认值很大程度上高估了次生林和人工林的土壤碳库储量。
相关研究结果目前以“Tropical forest restoration: fast resilience of plant biomass contrasts with slow recovery of stable soil C stocks”为题在线发表在英国生态学会期刊Functional Ecology(IF=5.6)。论文链接:http://onlinelibrary.wiley.com/doi/10.1111/1365-2435.12925/full

图1. 华南植物园小良站典型的生态恢复序列(A:光裸地;B:人工林;C:次生林)

图2. 小良站不同恢复序列样地中土壤碳库不同组分的新老碳比例(BL:光裸地;EP:人工林;SF:次生混交林;NF:自然林)