喀斯特森林是分布在以碳酸盐岩类岩石和富含Ca2+、Mg2+的钙质土之上的植被生态系统,具有土层薄,土体不连续,保水能力弱、抵御外界干扰阈值低的特点。同时,我国西南喀斯特森林因小生境多样性、复杂性和异质性,植物呈现高度多样性和特有种丰富的特征。在我国西南喀斯特和非喀斯特森林,有诸多共有种均为森林的优势种。因此,对比研究喀斯特与非喀斯特森林共有优势树种叶片功能性状的差异及其内在关联性,可为揭示植物对喀斯特生境的适应机制及石漠化植被恢复实践提供科学依据。
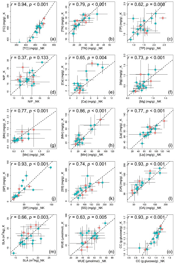
中科院华南植物园生态与环境研究中心博士研究生汤松波在旷远文研究员的指导下,测定了贵州省喀斯特和非喀斯特森林18个优势种15个叶片功能性状并构建了2种生境下不同功能性状之间的关联性。研究发现,15个叶片功能性状在喀斯特和非喀斯特生境下同时具有种间和种内的异质性和均质性特征,生境条件决定了优势树种叶片不同功能性状之间的关联性(图1),优势树种能通过在叶片中直接积累Ca并间接提高有机酸和矿物质含量、显著降低叶片构建成本的策略适应喀斯特生境(图2)。
相关研究结果于近日发表在国际学术期刊Ecology and Evolution。该研究得到国家重大科学研究计划项目和中国科学院青年创新促进会的资助。论文链接:https://doi.org/10.1002/ece3.7832

图1. 优势树种叶片功能性状在喀斯特(K)和非喀斯特(NK)生境中的关联性。

图2. 优势树种通过提高叶片Ca含量并影响叶片有机酸(OA),矿物质(Min)和叶片构建成本(CC)来适应喀斯特生境。