近年来,我国西沙热带珊瑚岛的植被面临着优势植物群落衰退、自然植被更新困难等问题。因此,急需研究环境因子对热带珊瑚岛从中央到海岸边缘区域的植被和土壤种子库的影响,为小岛屿是否和如何利用土壤种子库进行植被恢复提供科学指导。
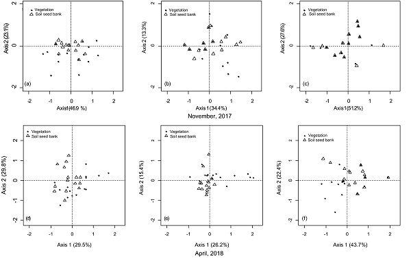
中科院华南植物园生态中心博士研究生黄耀在任海研究员的指导下,以西沙群岛东岛的中央-中间-海岸边缘区域的典型植被和土壤种子库为研究对象,探讨了地上植被、土壤种子库与环境因子的关系。结果发现,植被与种子库的相似性从中央区域向海岛边缘区域逐渐增加,珊瑚岛中央区域植被和土壤种子库的物种丰富度与土壤有机质、全氮和全磷呈正相关关系;海岸边缘区域植被和土壤种子库的物种丰富度与土壤pH呈正相关,这些变化可以较好地解释珊瑚岛不同植物群落随生境的分布规律。热带珊瑚岛中央区域植物群落的土壤种子库对植被恢复的贡献小,恢复潜力较差,恢复时可能要通过种植苗木实现;而海岸边缘区域植物群落的土壤种子库对植被恢复的贡献大,恢复潜力较好。这些结果表现,对热带珊瑚岛整个岛屿的植被保护和恢复要根据不同空间的植被采取不同的管理策略。
相关研究成果已发表在国际学术期刊Ecological Indicators(《生态指标》)(IF2020 = 4.229)上。该研究得到中国科学院战略性先导项目,NSFC-广东联合基金,广东省科技计划项目和中国科学院青年创新促进会的资助。论文链接:https://doi.org/10.1016/j.ecolind.2020.106689

图1. 东岛中央区域的抗风桐林(a)和海岸边缘的草藤本植物群落(b)

图2. 对中央-中间-海岸边缘3个区域的地上植被与土壤种子库的物种组成差异

图3. 热带珊瑚岛中央-中间-海岸边缘区域植被、土壤种子库和环境因子之间的关系