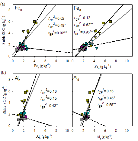
矿质保护是避免土壤有机碳不被微生物分解而得以保存下来的重要途径,特别是在酸性土壤中,如铁、铝氧化物对土壤有机碳的积累起到重要作用。已有的研究表明我国南亚热带不同演替阶段森林土壤有机碳积累速率差异显著,导致这些差异是否与该酸性土壤中铁、铝氧化物含量相关。
针对这一科学问题,中科院华南植物园生态及环境科学研究中心博士生俞梦笑在闫俊华研究员和王应平研究员的共同指导下,对我国南亚热带三种不同演替阶段的森林土壤理化性质开展研究,发现土壤粘粒的物理保护对演替前期针叶林土壤有机碳的积累起到主导作用,而铁、铝氧化物的物理化学复合保护对演替中后期针阔叶混交林和季风常绿阔叶林土壤有机碳的积累起到主导作用。随着森林演替进行,土壤有机碳的主导保护机制从单一的粘粒物理保护到铁、铝氧化物的物理化学复合保护转变。该研究结果验证了酸性土壤中铁、铝氧化物含量是提高演替后期森林土壤有机碳积累速率的重要途径,这种矿质保护作用使得南亚热带成熟森林土壤仍有很大的固碳潜力。
相关研究成果已近期发表在地球科学主流期刊Journal of Geophysical Research - Biogeosciences上。该研究得到国家杰出青年科学基金和国家自然科学基金的资助。
论文链接:https://agupubs.onlinelibrary.wiley.com/doi/full/10.1029/2018JG004995

三种不同演替阶段森林土壤铁、铝氧化物含量与土壤稳定性有机碳的相关关系