时间: 2025-03-15 来源: 《中国科学报》科学网 作者: 朱汉斌
近日,以中国科学院华南植物园博士毛晋花为第一作者、中国科学院地理科学与资源研究所研究员牛书丽为通讯作者的最新研究成果发表于《新植物学家》(New Phytologist)。他们在国家自然科学基金项目、国家重点研发计划等项目的资助下,研究揭示了自然生态系统植物氮素吸收偏好的全球格局及驱动因子。

植物氮素吸收偏好在不同气候区域和生态系统类型之间的差异。研究团队供图
植物氮素获取策略决定着生态系统生物量累积和碳动态,明晰植物氮素获取策略以及驱动因子对于预测未来气候变化背景下植被生产力维持以及陆地生态系统碳汇功能至关重要。植物对土壤不同形态氮的吸收偏好是重要的氮素获取策略之一,然而,全球尺度上植物氮素吸收偏好的变化规律和驱动因子尚不清楚。
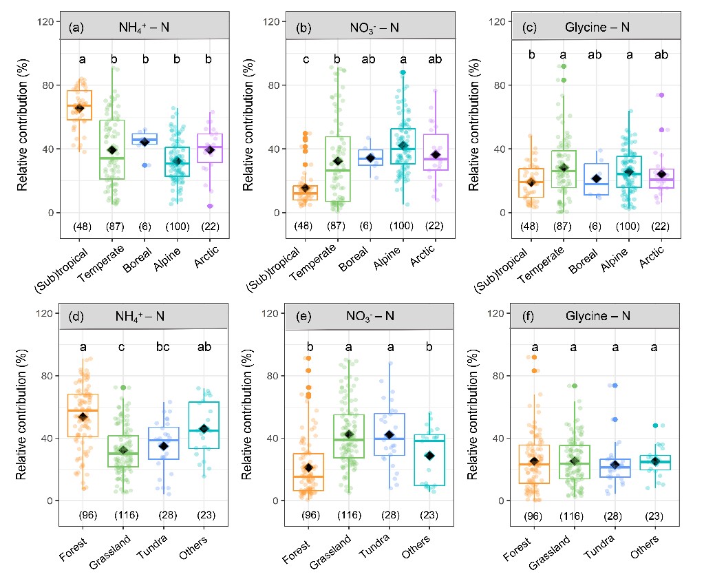
研究人员基于全球自然生态系统15N标记实验数据库,明晰了植物对土壤铵态氮,硝态氮以及有机氮(以甘氨酸为例)的相对吸收比例分别为41.6±1.1%,32.8±1.2%和25.6±0.9%。研究结果同时强调了植物氮素吸收偏好的纬度变化规律以及生物(植物类型)和非生物(气候、土壤)驱动机理。铵态氮和硝态氮分别在(亚)热带地区和高纬度气候区对植物氮吸收有更高的贡献比例,植物对铵态氮的偏好模式主要受年平均温度和土壤氮可利用性驱动;不同的是,硝态氮的偏好模式同时受到生物(植物类型)和非生物(气候、土壤)因素驱动。

不同植物类型氮素吸收偏好的差异。研究团队供图
该研究在全球尺度上揭示了自然生态系统植物氮素吸收偏好的变化规律和驱动因子,为深入理解全球变化背景下植物氮素获取策略以及准确评估氮获取策略引起的碳固存变化提供了重要依据。值得一提的是,该研究是毛晋花基于氮稳定同位素手段开展生态系统氮循环系列研究中的一个重要部分。
相关论文信息:https://doi.org/10.1111/nph.70030
报道链接:https://news.sciencenet.cn/htmlnews/2025/3/540492.shtm