中国科学院华南植物园天然产物化学生物学研究组在资源植物木豆的化学成分和活性成分功能评价方面取得新进展。从木豆叶的乙醇提取物中分离鉴定了10个新结构化合物,包括2个植物中罕见的菲类化合物Cajananthrenes A、B和一些新的菧类化合物,增强了对木豆化学成分和次生代谢产物生物合成路线的了解,同时也进一步丰富了植物天然产物的结构多样性。
通过对这些化合物的生物活性测定,发现化合物Cajanantharenes A和B对LPS刺激RAW 264.7巨噬细胞产生的NO有明显的抑制作用,提示这些化合物或者含有这些化合物的提取物有抗炎症功效。进一步发现,新菧类化合物Cajanotone B和C能明显抑制3T3-L1前脂肪细胞的脂肪分化,其降脂作用机制是调控了与脂质代谢相关的基因表达水平。Cajanotone B和C能显著减少脂肪细胞的脂质积累以及甘油三酯含量和FFA的分泌,还能显著抑制HSL、ATGL、C/EBPα和PPARγ的mRNA表达。
特别是Cajanotone B和C还可以抵消PPARγ激动剂罗格列酮(ROS)的促成脂分化作用。罗格列酮是临床上广泛使用的降糖药物,具有优秀的降低血糖功效,但同时有导致脂肪积累和水肿的副作用,该副作用与其激活PPARγ的作用机理相关,并且这一类药物的系统性副作用无法通过结构优化和产品升级来解决。目前的研究结果证明,Cajanotone B和C可通过负调控PPARγ途径,从而实现抑制3T3-L1脂肪细胞的脂肪生成,为新型降脂减肥和降糖药物研发提供了理论依据和先导化合物。这些化合物已经提交了发明专利保护。
相关研究成果已分别发表了3篇论文(https://doi.org/10.1080/14786419.2023.2297862; https://doi.org/10.1039/d3ra08149d; https://doi.org/10.1016/j.bioorg.2024.107851)。华南植物园博士研究生姚李媛为论文的第一作者,导师邱声祥研究员为通讯作者。

图1. 从木豆叶中新发现的新结构化合物

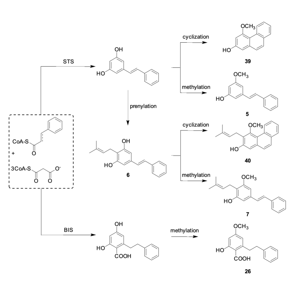
图2. 木豆新发现化学成分可能的生源合成途径

图3. Cajanotone B和C抑制脂肪生成的作用机制