树蕨是一类形态独特的同型孢子植物,具有高大的树状主干和大型羽状复叶。大部分树蕨种类属于桫椤科(Cyatheaceae),广泛分布于全球的热带、亚热带和南温带地区。在全球范围内,桫椤科物种正由于自然和人为原因迅速减少。目前,它们已被列入《濒危野生动植物种国际贸易公约》(CITES)附录II。同时,许多桫椤科物种也被列入国际自然保护联盟(IUCN)红色名录。在我国,除小黑桫椤和粗齿桫椤外,桫椤科植物均被列为国家二级重点保护野生植物。
同型孢子蕨类植物具有独特的交配系统,既可以像被子植物一样进行配子体间异交或自交,还能通过单个配子体产生的卵子和精子结合,完成配子体内自交。这种繁殖方式能在一代之内形成完全纯和的子代,是自交的一种极端形式。当同型孢子蕨类发生配子体内自交时,其面临的遗传学后果可能比被子植物自交更加严重。蕨类植物独特的繁殖方式可能对其进化产生重要影响,但目前我们对其认识仍十分有限。
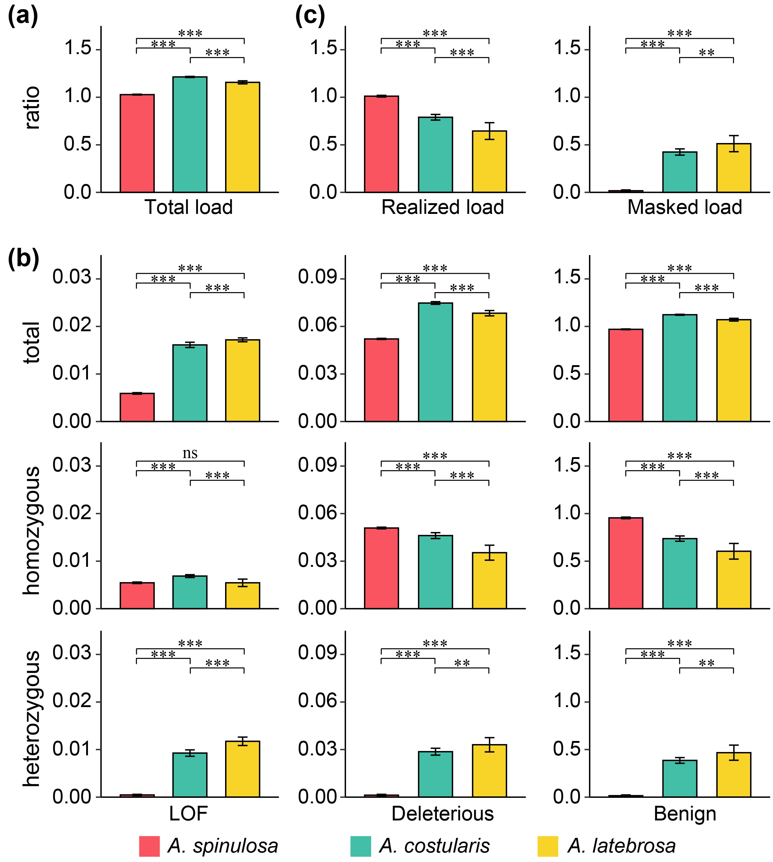
中国科学院华南植物园康明研究团队基于三种桫椤属(Alsophila)植物的全基因组重测序数据,系统比较了同型孢子蕨类植物基因组水平的近交和遗传负荷。结果显示,桫椤(Alsophila spinulosa)表现出极高的近交(FROH=0.83),而中华桫椤(A. costularis, FROH=0.07)和阴生桫椤(A. latebrosa, FROH=0.04)则主要为异交。尽管桫椤具有更广泛的地理分布,但其表现出极低的遗传多样性。种群历史分析揭示,桫椤的种群规模长期处于持续下降状态,提示其近交可能源自较远的历史时期。遗传负荷的比较显示,桫椤中有害突变整体减少,说明长期的近交与极小的有效种群大小可能加强了种群的净化作用效率,有效清除了群体内强有害突变,维持了桫椤的长期生存。然而,隐藏负荷向现实负荷的转化仍会对其未来生存构成潜在威胁。该研究揭示了同型孢子蕨类植物中近交与突变负荷之间复杂的进化关系,不仅有助于我们理解蕨类植物的进化历史与生存策略,也为其保护和管理提供科学依据。
相关的研究成果于近期发表在植物学重要期刊The Plant Journal上。华南植物园康明研究员为论文通讯作者,博士后易慧琴为第一作者,王静研究员和董仕勇研究员为论文共同作者。本研究工作得到广东省重点领域研发计划、广东基础与应用基础研究旗舰项目和国家自然科学基金的资助。

图1. 三种桫椤属植物的野生群落(从左到右:桫椤,中华桫椤,阴生桫椤)

图2. 三种桫椤属植物采样分布及群体遗传结构

图3. 三种桫椤属植物基因组遗传多样性及近交程度

图4. 三种桫椤属植物基因组遗传负荷