陆地植物获取二氧化碳时需要消耗大量的水分,植物需要将水分源源不断地运输到叶片,以维持气孔开放及其光合作用, 因此,叶片气体交换与植物水分运输效率联系紧密。然而,已有的研究表明,叶片水分运输与气体交换之间存在不一致的相关关系。
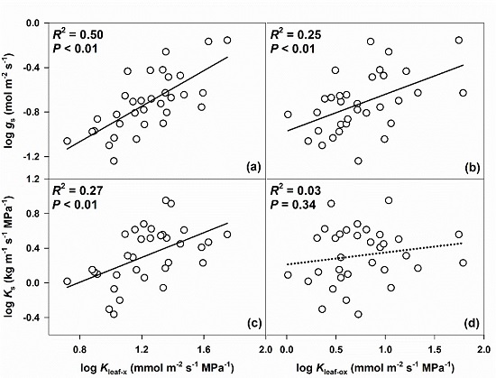
中国科学院华南植物园生态及环境科学研究中心中心博士生刘小容等在叶清研究员的指导下,以鼎湖山季风常绿阔叶林33种优势木本植物为研究对象,测定了枝条、叶片木质部和叶片木质部外组织的水分运输效率,以及气孔导度和光合速率等功能性状。鉴于叶片解剖结构的复杂性,将叶片水分运输分解为两条途径:叶片木质部水分运输和木质部外组织水分运输,以深入探讨植物叶片水分运输和气体交换之间的关系。研究发现,叶片木质部水分运输与枝条水分运输以及气孔导度之间存在紧密的联系,而叶片木质部外组织水分运输与之的联系相对较弱(图1),进而揭示了叶片木质部水分运输效率是影响气孔导度和光合能力的关键水力性状。
相关研究结果已近期发表在国际主流期刊Tree Physiology上。该研究得到了国家杰出青年科学基金、国家自然科学基金面上项目等资助。论文链接:https://doi.org/10.1093/treephys/tpz076

图1. 叶片木质部水分运输效率(Kleaf-x)和叶片木质部外组织水分运输效率(Kleaf-ox)分别与气孔导度(gs)(a、b)以及枝条水分运输效率(Ks)(c、d)的相关关系。